Colombian Government Issues 30 New Petroleum Concessions
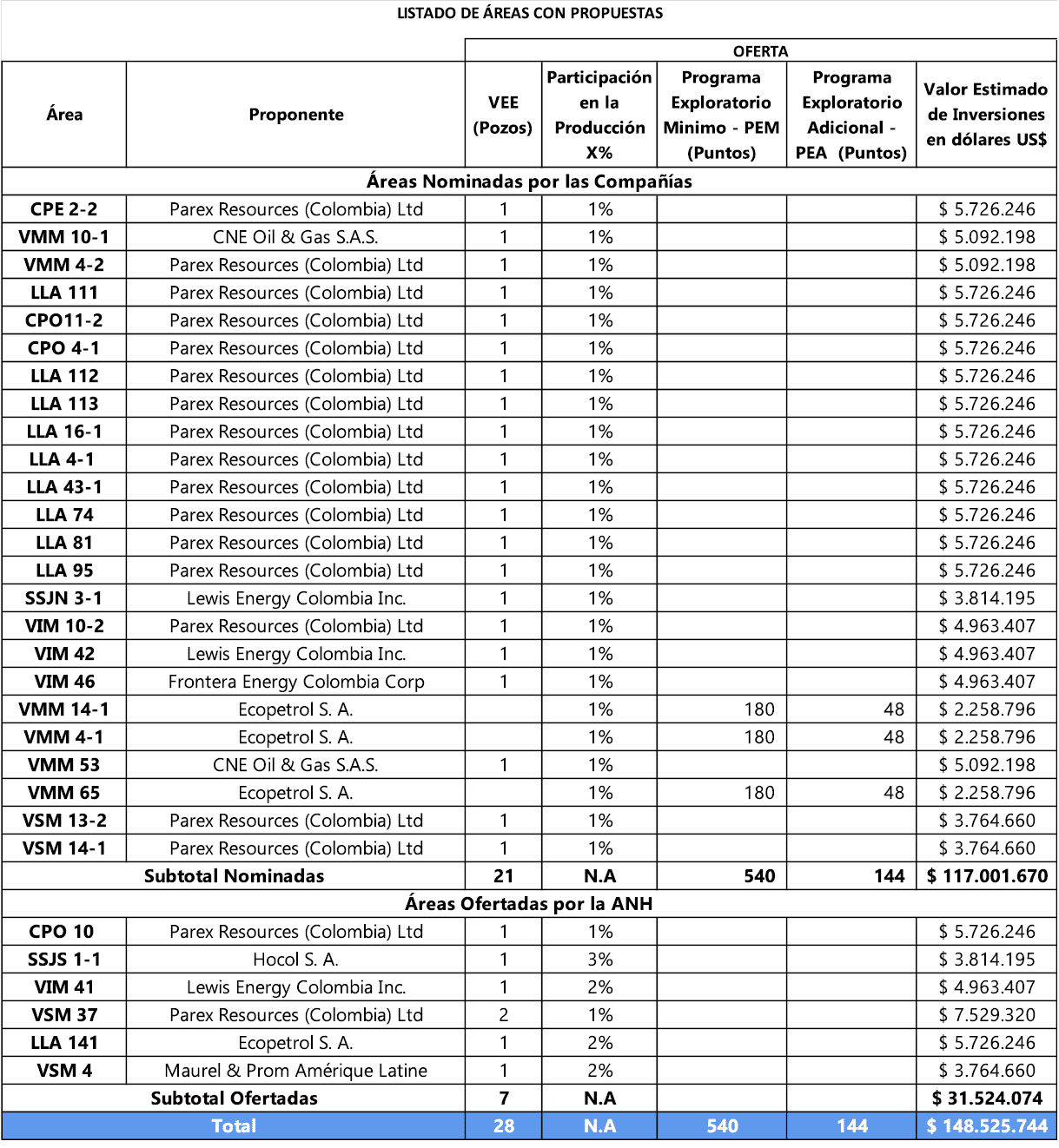
Yesterday, the Colombian National Hydrocarbons Agency (ANH) under the Ministry of Mines and Energy awarded 30 concessions, or permissions to exploit specific areas, to seven different energy companies. The government says that total investment from the awards exceed $148.5 million USD.
These new awards bring the total to 69 petroleum drilling concessions issued under the Duque Administration.
“In August 2018 we received a sector with almost five years without awarding or signing new hydrocarbon contracts and so far during President Duque’s government, we have awarded 69 areas that will continue to position the sector as one of the main engines of economic reactivation and of the country’s development,” said Minister of Mines and Energy, Diego Mesa.
The winning energy companies are Ecopetrol, Parex Resources, Lewis Energy, Frontera Energy, CNE Oil & Gas (Canacol), Hocol, and Maurel & Prom Amérique Latine.
The awarded concessions are located in the Colombian departments of Santander, Norte de Santander, Bolívar, Meta, Casanare, Córdoba, Sucre, Vichada, Cundinamarca, Arauca, Atlántico, Antioquia, Magdalena, Cesar, Boyacá, Huila, Cauca and Tolima.
“In the Colombia 2021 Round (of concession solicitations), 53 areas were offered between those proposed by the ANH and those nominated by the companies, for a total of 30 awarded areas and a success rate of 56%. This demonstrates a great commitment from the industry and a sector committed to the economic and sustainable reactivation of the country. Our mission as administrators of hydrocarbon resources commits us to continue working and generating favorable conditions to attract the investment that Colombia so badly needs for national energy security in the coming years,” said the president of the National Hydrocarbons Agency, Armando Zamora Reyes.























